新闻资讯
News
07
2026
-
04
太赫兹成像,二维高温超导BSCCO | Nature
作者:
超导能隙是超导体中无耗散输运现象及集体效应产生的本征能量尺度。在层状高温铜氧化物超导体中,库珀对被局限于耦合作用较弱的二维铜氧CuO?平面内,利用亚能隙毫电子伏特量级的太赫兹光谱技术,目前已获得垂直于超导层方向集体超流响应的关键信息。然而,在铜氧CuO?平面内,集体超流响应表现为能量远高于超导能隙的等离子体电荷振荡,且该信号会被强耗散效应掩盖。
近日,麻省理工学院A. von Hoegen,N. Gedik团队在Nature上发文,在少层铋锶钙铜氧Bi?Sr?CaCu?O???中,通过光谱实验证实了能隙以下二维超流等离子体激元的存在,并在空间尺度上,解析了深亚衍射极限的太赫兹电动力学行为。
将该超导体置于自旋电子学太赫兹发射器的近场范围内,观测到一种特殊的共振信号——该信号在块体样品中不存在,且仅在超导态下出现;同时,通过测绘几何各向异性与色散关系,证实了该共振信号的等离子体激元本质。尤为关键的是,这些测量结果直观呈现了二维体系中与动量、频率均相关的超导转变过程。

Imaging a terahertz superfluid plasmon in a two-dimensional superconductor. 二维超导体中,太赫兹超流等离激元成像

图1:少层Bi?Sr?CaCu?O???(BSCCO)的太赫兹显微光谱。

图2:太赫兹电导率与温度关系。

图3:Bi?Sr?CaCu?O???的太赫兹高光谱成像。

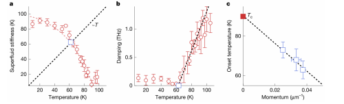
图4:超导转变的尺度依赖关系。
来源:今日新材料
最新动态
感谢您访问崇帆科技官方网站,如有合作意向或建议,请通过以下方式联系我们,我们会尽快给予回复,谢谢!
移动版
官方公众号